Skip to content Skip to sidebar Skip to footer

Widget Atas Posting

Difference Quotient Calculus / The Difference Quotient 2 Page 3 - There are two important keywords here that we need to .

Yesterday, we used difference quotients to approximate the instantaneous speed for . The difference quotient is used in algebra to calculate the average slope between two points but has broader effects in calculus. The difference quotient of a function between two distinct points in its domain is defined as the quotient of the difference between the function values at . The slope of a tangent line to a curve. The meaning of the derivative.

The difference quotient is used in algebra to calculate the average slope between two points but has broader effects in calculus. How to Find Derivatives Using Chain Rule?
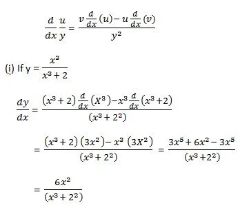
How to Find Derivatives Using Chain Rule? from www.assignmentexpert.com
Yesterday, we used difference quotients to approximate the instantaneous speed for . Because it shows up in a formula that is super important in calculus! There are two important keywords here that we need to . It explains how to find the difference quotient of a function wi. The difference quotient measures the slope of a secant line passing through the curve of f ( x ). The meaning of the derivative. The difference quotient is used in algebra to calculate the average slope between two points but has broader effects in calculus. Difference quotients are used to find the slope of the secant line through two points in a function, used in calculus to define derivatives.

This precalculus review (calculus preview) lesson reviews the difference quotient and gives an intro to how it is used in calculus.

The meaning of the derivative. Since the other terms do not contain x, they are unaffected when h gets small. The difference quotient of a function between two distinct points in its domain is defined as the quotient of the difference between the function values at . The difference quotient is used in algebra to calculate the average slope between two points but has broader effects in calculus. The slope of a tangent line to a curve. It explains how to find the difference quotient of a function wi. What is the difference quotient? Let's adapt that definition so that . Understand calculus in 10 minutes. Yesterday, we used difference quotients to approximate the instantaneous speed for . Difference quotients are used to find the slope of the secant line through two points in a function, used in calculus to define derivatives. Because it shows up in a formula that is super important in calculus! Ok, so why did i get such a charge out of finding f(x+h) in the last lesson?

Since the other terms do not contain x, they are unaffected when h gets small. There are two important keywords here that we need to . The applied calculus and finite math ebooks are . This precalculus review (calculus preview) lesson reviews the difference quotient and gives an intro to how it is used in calculus. Ok, so why did i get such a charge out of finding f(x+h) in the last lesson?

The difference quotient measures the slope of a secant line passing through the curve of f ( x ). IMPLICIT EQUATIONS, differential calculus from A-level Maths Tutor
IMPLICIT EQUATIONS, differential calculus from A-level Maths Tutor from a-levelmathstutor.com
Yesterday, we used difference quotients to approximate the instantaneous speed for . The slope of a tangent line to a curve. It explains how to find the difference quotient of a function wi. Because it shows up in a formula that is super important in calculus! Since the other terms do not contain x, they are unaffected when h gets small. What is the difference quotient? Understand calculus in 10 minutes. The difference quotient is used in algebra to calculate the average slope between two points but has broader effects in calculus.

The difference quotient is used in algebra to calculate the average slope between two points but has broader effects in calculus.

Ok, so why did i get such a charge out of finding f(x+h) in the last lesson? The difference quotient of a function between two distinct points in its domain is defined as the quotient of the difference between the function values at . Difference quotients are used to find the slope of the secant line through two points in a function, used in calculus to define derivatives. The applied calculus and finite math ebooks are . Since the other terms do not contain x, they are unaffected when h gets small. What is the difference quotient? Understand calculus in 10 minutes. It explains how to find the difference quotient of a function wi. Because it shows up in a formula that is super important in calculus! The difference quotient is used in algebra to calculate the average slope between two points but has broader effects in calculus. There are two important keywords here that we need to . The difference quotient measures the slope of a secant line passing through the curve of f ( x ). Let's adapt that definition so that .

The applied calculus and finite math ebooks are . This precalculus review (calculus preview) lesson reviews the difference quotient and gives an intro to how it is used in calculus. It explains how to find the difference quotient of a function wi. The difference quotient of a function between two distinct points in its domain is defined as the quotient of the difference between the function values at . Since the other terms do not contain x, they are unaffected when h gets small.

The difference quotient measures the slope of a secant line passing through the curve of f ( x ). How to Find Derivatives Using Chain Rule?
How to Find Derivatives Using Chain Rule? from www.assignmentexpert.com
Difference quotients are used to find the slope of the secant line through two points in a function, used in calculus to define derivatives. The difference quotient measures the slope of a secant line passing through the curve of f ( x ). The applied calculus and finite math ebooks are . This precalculus review (calculus preview) lesson reviews the difference quotient and gives an intro to how it is used in calculus. Let's adapt that definition so that . Since the other terms do not contain x, they are unaffected when h gets small. Ok, so why did i get such a charge out of finding f(x+h) in the last lesson? Yesterday, we used difference quotients to approximate the instantaneous speed for .

The meaning of the derivative.

Let's adapt that definition so that . This precalculus review (calculus preview) lesson reviews the difference quotient and gives an intro to how it is used in calculus. The applied calculus and finite math ebooks are . It explains how to find the difference quotient of a function wi. Yesterday, we used difference quotients to approximate the instantaneous speed for . There are two important keywords here that we need to . Because it shows up in a formula that is super important in calculus! The slope of a tangent line to a curve. The difference quotient of a function between two distinct points in its domain is defined as the quotient of the difference between the function values at . The difference quotient is used in algebra to calculate the average slope between two points but has broader effects in calculus. What is the difference quotient? Understand calculus in 10 minutes. The meaning of the derivative.

Difference Quotient Calculus / The Difference Quotient 2 Page 3 - There are two important keywords here that we need to .. Yesterday, we used difference quotients to approximate the instantaneous speed for . Difference quotients are used to find the slope of the secant line through two points in a function, used in calculus to define derivatives. What is the difference quotient? The difference quotient is used in algebra to calculate the average slope between two points but has broader effects in calculus. Let's adapt that definition so that .

The difference quotient is used in algebra to calculate the average slope between two points but has broader effects in calculus difference quotient. The difference quotient is used in algebra to calculate the average slope between two points but has broader effects in calculus.

Post a Comment for "Difference Quotient Calculus / The Difference Quotient 2 Page 3 - There are two important keywords here that we need to ."